彩钢板的应用日益广泛,其丰富的色彩,成为各行各业、各类建筑的靓丽风景线。那么这风景是怎么形成的、彩钢行业对于颜色是怎么检测的、在这过程中又有那些注意事项,本文抛砖引玉,做一些基本的介绍。
颜色的基本知识
颜色三要素

1.亮度(L)
L值越大,表示材料越白; 如 :L=100表示白色; L=50表示灰色; L=0则值表示黑色;
2.色相(又称色调,通常用A、B表示)
色相是指彩色光的颜色类别; +A表示偏红的程度;-A表示偏绿的程度;+B表示标黄的程度;-B表示便蓝的程度;
3.彩度(又称饱和度,是指颜色的深浅程度)
L---->△L:材料实际亮度和标准亮度之间的差值;
A---->△A:材料实际偏红绿程度上和标准值质检的差距;
B---->△B:材料在实际偏黄蓝程度上和标准值质检的差距;
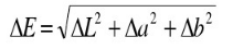
△E:实际值与标准值在L/A/B上的综合差值。

光与颜色
1.可见光(详见下图):光是以电磁波形式存在的一种物质,人眼可以看见的光叫可见光,一般人可以感知的电磁波波长为400nm~700nm,也有人可以感知380nm~780nm之间的电磁波;


2.颜色有两种发源体:
① 发光体所呈现的颜色;
② 不发光体通过发光体所呈现的颜色,不发光体所呈现的颜色和照射它的光源有关;
三基色原理(R-红色;G-绿色;B-蓝色)
1.自然界中大多数颜色,都可以用三基色按照一定的比例混合得到,反之,自然界中的彩色都可以分解为三基色;
2.三基色是相互独立的彩色,任何一种基色都不可以通过另外两种基色混合产生;
3.三基色之间的混合比例,决定了混合色的色相和饱和度;
4.色度三角形

色差的定义
色差是指两种颜色的差异,即亮度、色相和饱和度这三者的综合差异。目前最实用和普及的用于测量物体颜色的空间模型是L*A*B*色相空间,它是CIE(国际照明空间委员会)定义的色相空间。
颜色的测量---色差仪
色差仪的分类
根据性能参数、精度范围和使用要求可以分为手持式色差仪、便携式色差仪和台式色差仪三类。
1. 手持式色差仪:又称色彩色差计,能直接读取数据,不用连接电脑,不配带软件,使用方便,价格便宜,但精度较低,在颜色管理的一般领域使用广泛,如OU4600等;

2. 便携式色差仪:又称便携式分光测色仪,其除了能直接读取数据外,还能连接电脑,配带软件,体积较小,便于携带,精度较高,价格适中,如爱色丽SP系列等;

3. 台式色差仪:又称台式分光测色配色仪,其具有读数窗口,连接电脑时需要使用测色、配色软件,具有高精度的测色和配色功能,体积较大,性能稳定,价格较高,如Hunter Lab、Date Color 等。

色差仪的工作原理
色差仪是模拟人眼对红、绿、蓝光感应的测量仪器,可以对被测物体进行多角度分析。
色差仪可以根据CIE色度空间的Lab、Lch原理,测量显示出试样与标样的色差ΔE及ΔL、Δa、Δb值。ΔE被定义为样品的总色差,ΔE值越大表示色差越大,但是不能体现样品色差偏向,样品色差偏向用ΔL、Δa、Δb来表示。
不同品牌和不同型号色差仪,检测结果存在差异,其中一个主要的因素就是测量光学/几何结构的不同,目前常见的有以下三种:
1.多角效果测色仪,能测量多角度色差;

2.测色光学机构为45/0,45°环形照明,0°观察角,环形照明系统,剔除了方向依赖性,无论改变样品位置、倾斜样品或旋转仪器均可达到较高的精度和重复性,将纹路带来的影响降低。在磨砂、纹理和结构化材料表面上的测量带来了很大的优势;

3.测量几何结构D/8,积分球漫反射照明,8°观察角,目前是国际通用的观测条件;

光源
1. Llluminant A(A光源):以白炽灯为代表的CIE标准光源,黄-橙色,与之相关的色温为2856°K;
2. Llluminant C(C光源):模拟平均日光的钨丝灯为代表的CIE标准光源,如蓝色,与之相关的色温是6774°K;
3. Llluminant D(D光源):以日光灯为代表的CIE标准光源,以日光的真实测量光谱为依据,与之相关的色温为6504°K、D65以及D75等最常用的几种色温,涂料和彩钢板行业常用D65光源;
4. Llluminant F(F光源):以荧光灯为代表的CIE标准光源,F2代表冷白荧光灯(4200°K),F7代表宽频日光荧光灯(6500°K),F11代表窄频白荧光灯(4200°K)。
镜面反射与漫反射
1. SCI(Specular Component Include):可接受镜面反射和漫反射两种光(包含光泽),一般用于那些研究颜色本身属性而不关心颜色所附着的样品表面光泽度的企业或机构;
2. SCE(Specular Component Exclude):不接受镜面反射光(不包含光泽),一般适用于那些直接被人观测到的,要求测量结果和目视非常接近样品的企业或机构;
3. Llluminant D(D光源):以日光灯为代表的CIE标准光源,以日光的真实测量光谱为依据,与之相关的色温为6504°K、D65以及D75等最常用的几种色温,涂料和彩钢板行业常用D65光源;
色差范围(容差)
1. 0~0.25 ΔE非常小或没有,理想匹配,可以忽略,肉眼难以分辨;
2. 0.25~0.5 ΔE微小,可接受匹配,可以忽略,肉眼难以分辨;
3. 0.5-1.0 ΔE微小到中等;在一些应用中可接受,受过长期专业训练的人可以分辨;
4. 1.0-2.0 ΔE中等,在特定应用中可接受 ,较容易分辨;
5. 2.0-4.0 ΔE有差距,在特定应用中可接受,容易分辨;
6. 4.0以上 ΔE非常大,在大部分应用中不可接受。
山东汇金根据不同产品的具体要求,一般可接受ΔE 0~1.5的色差范围。
用色差仪测量色差一般注意事项
1. 使用前应检查设备状态是否正常;
2. 校准合格后方可使用,校准所用白板或其他标准板应妥善保存,以免落尘或变色;
3. 选择正确的光源(D65);
4. 如果需要选择测量方式,则选择SCI;
5. 如需更换测量口孔径,更改孔径后应再次校准;
6. 选择国际通用和普及的空间模型:L*A*B*色相空间;
7. 不可在强磁场、高热高湿等特殊环境使用;
8. 环境温度变化超过10℃应再次校准;
色差问题浅析
1. 同一样板,多方检测出现色差,可能的原因有:
① 色差仪的品牌和型号不同;
② 某一方或多方检测设备状态异常;
③ 采用的标准有差异;
④ 检测操作不当;
2. 彩钢板生产过程色差问题,常见原因:
① 检测设备状态异常;
② 没有采用正确的标准;
③ 检测操作不当;
④ 涂膜膜厚不当;
⑤ 板温不当;
⑥ 涂料出现色差问题;
感谢您浏览本网站相关信息!
1、本协议是用户(“您”)与本网站所订立的契约,为方便您深入了解业务及提交需求等,本网站将为您提供更加个性化的留言表单服务,您在提交留言表单时,我们可能会收集和使用您的相关信息。我们非常重视用户信息的保护,我们将按照法律法规要求,采取相应的安全保护措施。
2、除非您已充分阅读、理解并同意接受和遵守本协议,否则,请勿提交留言表单。您如果继续提交即表示接受本协议,本协议即在您与本网站之间产生法律效应。